Mansur Yavaş satmaya doyamadı! Son 2 ayda 68 taşınmaz satıldı, 68 tanesinin de satılacağı ortaya çıktı

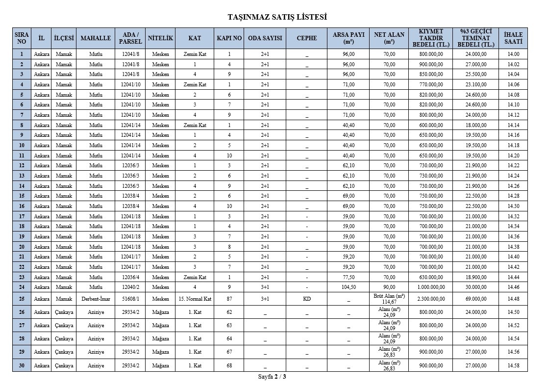
CHP'li Mansur Yavaş idaresindeki Ankara Büyükşehir Belediyesi'nin (ABB), son 5 yılda toplam 24 milyar liraya piyasa değerinin altında bedellere sattığı yüzlerce taşınmasın ardından Ağustos ayında da Mamak, Çankaya, Gölbaşı ve Balâ'da 168 milyon 239 bin Türk lirası bedelle taşınmazlar sattığı ortaya çıktı. Bununla birlikte belediyeye ait 29 taşınmazın daha toplam 179 milyon 60 bin TL bedelle satılmak üzere ilan verildiği öğrenildi.

01 Mansur Yavaş satmaya doyamadı! Son 2 ayda 68 taşınmaz satıldı, 68 tanesinin de satılacağı ortaya çıktı

Son olarak 1 Şubat 2024'teki satışta biri 2 milyar lira olmak üzere toplam 2 milyar 409 milyon 200 bin liraya 19 taşınmaz satılırken, Mamak'ta bulunan bir taşınmaz ise 13 Haziran'da ise kentsel dönüşümde kullanılacağı gerekçesiyle 807 milyon 723 bin 912 liraya satılmıştı.

02 Mansur Yavaş satmaya doyamadı! Son 2 ayda 68 taşınmaz satıldı, 68 tanesinin de satılacağı ortaya çıktı

14 Haziran'da ise İstanbul'da bulunan ABB'ye ait taşınmazlar da 144 milyon 907 bin 500 lira bedelle elden çıkarılmıştı.

03 Mansur Yavaş satmaya doyamadı! Son 2 ayda 68 taşınmaz satıldı, 68 tanesinin de satılacağı ortaya çıktı

YAVAŞ'IN ALDIĞI BORÇLANMA YETKİLERİ
Meclis kararı ile 14 Haziran 2022'de 9 milyar 956 milyon 772 bin 774 Japon Yeni, 7 Temmuz 2022'de 63 milyon Euro ve 6 milyar Japon Yeni, 12 Aralık 2022'de 320 milyon Euro, 13 Ocak 2023'de ise 5 milyar Türk lirası olmak üzere toplamda 20 milyar Türk lirası borçlanma yetkisi alan ABB'nin halen taşınmaz satışı gerçekleştirmesi dikkat çekti.

09 Mansur Yavaş satmaya doyamadı! Son 2 ayda 68 taşınmaz satıldı, 68 tanesinin de satılacağı ortaya çıktı

Sabah.com.tr Uygulamamızı İndirin

Uygulamalara Özel Ayrıcalıkları Keşfedin!